segunda-feira, 22 de agosto de 2016

Epidemiologia Rápida - Medidas de Frequência I



O que são medidas de frequência?

Independente da sofisticação de um estudo epidemiológico ou da análise de dados empregados, as respostas destes, baseiam-se em alguma medida de frequência - As medidas de frequência  nada mais são do que a representação de maneiras de medir ou quantificar a frequência com que os problemas de saúde ocorrem, em uma população humana, assim , elas são definidas a partir de dois conceitos epidemiológicos fundamentais, denominados: prevalência e incidência .

Prevalência

A prevalência é definida como a frequência de casos existentes de uma determinada doença, de uma dada população, em um certo momento. Os casos prevalentes são aqueles indivíduos que vieram a adoecer e que estão vivos quando realizou-se a observação. Assim, os casos que vieram a falecer antes do período de observação não são considerados como prevalência.

Prevalência = número de casos existentes/ população total  num dado momento do tempo

Incidência

É a frequência de casos novos de uma determinada doença, originados em uma população sob risco de adoecimento, ao longo do tempo.  É uma medida dinâmica, pois refere-se a uma mudança no "status" de saúde do indivíduo, verificado através de mais de uma observação ao longo do tempo.

Incidência = número de casos novos/população em risco num dado momento do tempo

Tanto as medidas de prevalência como a de incidência podem ser definidas como indicadores de morbidade. Enquanto a prevalência demonstra uma fotografia da situação em um dado momento, a medida de incidência pode ser melhor utilizada para avaliar o risco de  adoecer por determinado agravo, também conhecida como incidência acumulada.





domingo, 7 de agosto de 2016

Controle da HAS em Diabéticos. ACCORD trial, como avaliar estudos negativos.




Dando continuidade a série de postagens relacionadas ao paradigma do "Less is More" ou " Menos é Mais " e pegando carona nos últimos resultados do SPRINT-trial, que concluiu que para  indivíduos com alto risco cardiovascular, sem diabetes ou AVC prévio o controle agressivo (More is More) seria a  melhor medida terapêutica para redução de desfechos duros em indivíduos hipertensos, hoje falaremos sobre o controle da pressão arterial em indivíduos com HAS e diabetes, esmiuçando os aspectos do principal estudo que embasa essa recomendação - o ( ACCORD-trial).

Background - Racional do Estudo - Não há evidências para afirmar que uma pressão arterial sistólica menor que 135 mm Hg (tratamento agressivo) reduz um maior número de desfechos  duros em indivíduos com HAS e DM , portanto o estudo foi desenhado para testar a hipótese de que uma pressão arterial sistólica menor que 120 mm Hg  poderia ser mais benéfica de que o tratamento padrão.

Resultados
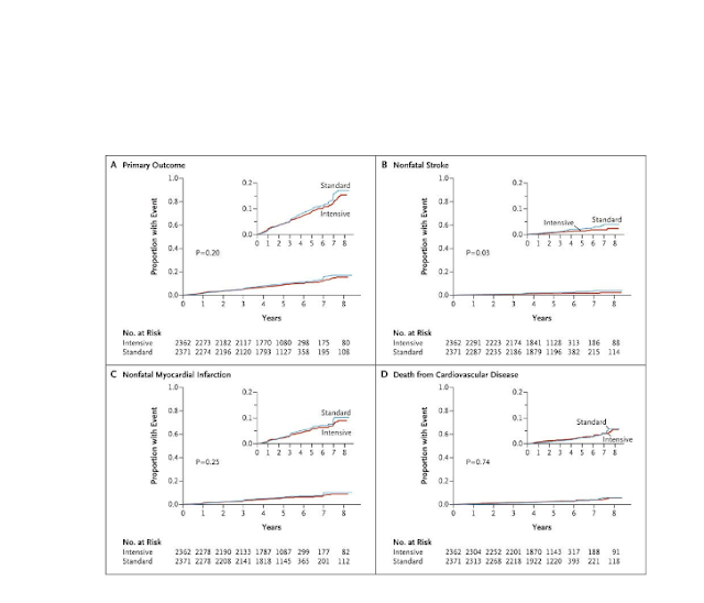
As médias de controle pressórico nos grupos tratamento intensivo e tratamento padrão após um ano de estudo foram, respectivamente de: 119,3 e 133,5.
As taxas anuais dos desfechos primários foram de 1,87% no grupo tratamento intensivo e 2,09% no grupo padrão ( 0,88 IC 95% 073-1,06 p=0,20).
As taxas anuais de morte por qualquer causa foram de respectivamente, 1,19% e 1,28%, não alcançando diferença significativa ( 1,07 IC 95% 085-1,35 p=0,55).
Houve diferenças nas taxas anuais de AVCi , sendo significativas entre grupo tratamento x padrão (p=0,001) - porém, o desfecho foi secundário.
E o número de eventos adversos foi maior no grupo tratamento intensivo 77 de 2632 pacientes contra 30 de 2371.

Conclusão

Em indivíduos com DM de alto risco cardiovascular uma pressão arterial sistólica menor do que 120 mm Hg não reduziu eventos cardiovasculares maiores fatais e não fatais se comparada com taxas inferiores de PAS a 140 mm Hg.

Análise do estudo ACCORD-trial.

O que pode influenciar nos resultados de um estudo falso-negativo? 

1 - Erros sistemáticos
2 - Erros aleatórios


1 - Em relação aos erros sistemáticos, teríamos que nos questionar que erros no planejamento e na intervenção poderiam influenciar nos resultados do estudo.

A intervenção em ambos os grupos foi adequada. No grupo tratamento padrão a titulação ou adição de drogas foi realizada se a PAS era igual ou superior a 160 mm Hg em uma única visita ou igual ou superior a 140 mm Hg em duas visitas consecutivas. A titulação reajustando as doses para níveis mais baixos era realizado se a PAS era menor ou inferior a 135 em unica visita ou menor ou inferior a 130 em duas visitas.

No grupo tratamento intensivo foi definido que a titulação de doses ou adição de medicamentos ocorreria se a PAS estivesse maior ou igual a 120.
Como medicamentos foram utilizadas todas as classes medicamentosas disponíveis para o tratamento de indivíduos com HAS - Beta-bloqueadores, diuréticos, inibidores da ECA, bloqueadores dos receptores de angiotensina, bloqueadores dos canais de cálcio e, para aqueles candidatos ao tratamento intensivo o tratamento inicial foi realizado através das custas de um diurético adicionado a IECA ou BB , se necessário.

Quanto ao tipo de desfecho?
Os desfechos avaliados foram todos duros. Para o desfecho primário foi definido um composto de morte cardiovascular associado a AVC não-fatal e IAM não-fatal.
Embora, o estudo tenha sido aberto, a preocupação com viéses de mensuração diminui pela utilização de desfechos objetivos que não são suscetíveis a tendenciosidade do observador.
As definições adequadas dos desfechos podem ser encontradas no  material suplementar.

Sobre erros sistemáticos, devemos nos perguntar sobre os viéses de confusão. Neste caso,  o ( ACCORD-trial) foi um estudo randomizado, ou seja, através de alocação aleatória - sorteio, definiu-se grupo controle e grupo intervenção. Diferentemente dos estudos observacionais, onde os grupos são pré-definidos, o que faz com que as características dos indivíduos não sejam homogêneas, a randomização torna os grupos iguais, evitando viéses de seleção e confusão. Isto pode ser visto  na Tabela 1, onde o número de indivíduos em cada grupo e suas características é muito semelhante.


O Acaso

Quando um estudo é negativo devemos nos perguntar se a diferença não foi encontrada devido ao erro do tipo II. O erro do tipo II ocorre quando uma hipótese foi rejeitada sendo verdadeira, e isto não ocorreu devido a falta de poder estatístico.
Nota: Em estatística quando realizamos o teste de hipóteses e ele  parte da premissa da hipótese nula, ou seja, um fenômeno é inexistente até que prove-se o contrário. A partir disso, quatro possibilidades existem, vistas abaixo.








Voltando ao erro do tipo II, um estudo quando realizado, deve ter um poder estatístico de no mínimo 80%, logo, o limite de tolerância para o erro do tipo II é de 20%. Quando analisamos um estudo negativo devemos procurar por estes dados. Estes dados geralmente estão dispostos em Statistical Analysis. No estudo citado observamos que o autor propõe um número amostral de 4200 participantes para um poder estatístico de 94% que seria suficiente para detectar uma diferença ( se houvesse) entre os grupos.
Nesse caso, o  ( ACCORD-trial) teve um poder adequado.

Outro ponto importante a analisar é a diferença de desfecho que o autor propõe encontrar. Quanto menor a diferença maior deve ser o poder do estudo.
Nesse estudo há a proposta de uma Redução relativa de 20% nas taxas do desfecho primário no grupo submetido ao tratamento intensivo com a incidência no grupo controle de 4% ano , para um follow-up de 5,6 anos.
Ademais, devemos avaliar se essa incidência foi realmente demonstrada no grupo controle. No estudo ( ACCORD-trial) a incidência anual do desfecho no grupo controle foi 50% menor do que o planejado, o que de certa forma reduz o poder estatístico do estudo. Esperava-se uma incidência de 4% ao ano, quando foi encontrada uma taxa de 2,09% ao ano. A justificativa dos autores foi de que o uso de estatinas em pacientes que foram provenientes do braço lípidico do estudo proporcionaram uma diminuição do risco cardiovascular aquém daquele estritamente relacionado ao aumento da pressão arterial.
Entretanto, ainda assim, ao analisar as incidências cumulativas entre os desfechos verifica-se que as curvas são muito próximas entre elas. Ocorrendo apenas diferença no quadro B, um desfecho secundário.
O erro do tipo II é mais provável, quando há uma diferença que não alcançou significância.


Aplicabilidade

Este estudo embasa uma das principais recomendações do JOINT-8, de que o tratamento moderado da pressão arterial em diabéticos seria suficiente para prevenir eventos cardiovasculares maiores, contra-pondo as recomendações do JOINT-7 de que o tratamento agressivo seria mais eficiente.
O estudo também demonstra que a média das medicações para se obter um controle agressivo num grupo de tratamento intensivo seria significativamente maior. No grupo de tratamento intensivo foi necessário uma média  de 3,4 medicamentos, enquanto que no grupo padrão apenas 2,1.
Aumentar o número de medicações também aumenta a possibilidade de eventos adversos, onde se observa uma maior taxa de distúrbios hidroletrolíticos e outros eventos adversos no grupo de tratamento agressivo em comparação ao grupo controle.
Outro ponto a ressaltar, é que o estudo avaliou indivíduos de 40 a 79 anos, devendo-se tomar cuidado a extrapolar para grupos além dessa idade sem diabetes.
De maneira geral, observando-se as médias de pressão entre os grupos no final do segmento, o ( ACCORD-trial) foi mais adequado, pois no analise de sub grupos do HOT-trial e UKPDS as médias pressóricas nos grupos foram maiores. O que o coloca como a evidência de melhor qualidade para embasar a conduta referente ao controle pressórico nos diabéticos.